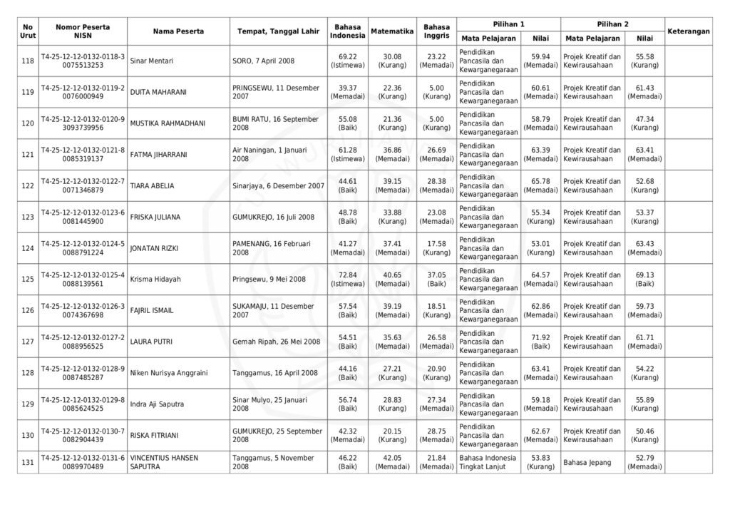
Berikut adalah hasil TKA Tahun 2025.
SMK YADIKA PAGELARAN

Download File TKA dibawah :
DKHTKA_K12120132_69896130_24122025195211
INFO SPMB SMK YADIKA PAGELARAN
TP 2026/2027

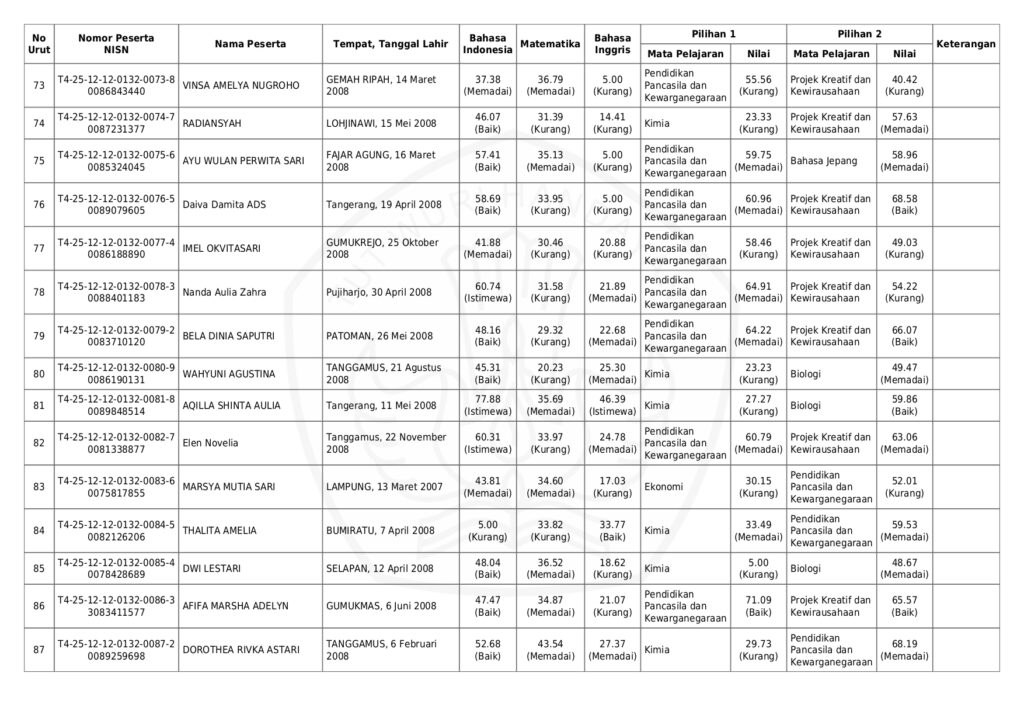
Berikut adalah hasil TKA Tahun 2025.
SMK YADIKA PAGELARAN

Download File TKA dibawah :
DKHTKA_K12120132_69896130_24122025195211
INFO SPMB SMK YADIKA PAGELARAN
TP 2026/2027
